How far an object travels in a given direction
What is velocity
This graph shows the motion of an object.
Which best describes the motion of the object?
a) it is sitting still
b) it is moving at a constant speed
c) it is continually increases its speed
d) it travels at constant speed and suddenly stops

d) it travels at constant speed and suddenly stop

Describe what the graph is showing.

What is an object moving at a constant speed?
The graph shows the motion of an object.
How long did it take the object to travel to a position of 30 meters?

What is 3 seconds?

The graph below shows the motion of two cars.
How does the motion of the two cars compare?
a) car 1 is slowing down and car 2 is speeding up
b) car 1 is not moving and car 2 is maintaining a constant speed
c) car 1 is maintaining a constant speed and car 2 is speeding up
d) car 1 is speeding up and car is maintaining a constant speed

What is C) car 1 is maintaining a constant speed and car 2 is speeding up?

By definition, this is the amount of total change of location of a motion. Aka total ground covered.
What is distance
The graph below shows a car traveling at a constant speed of 40mph.
What can you infer from the graph about the distance the car has traveled?
a) the car has traveled 20 miles in 30 minutes
b) the car has traveled 40 miles in 30 minutes
c) the car has traveled 80 miles in 60 minutes

What is A) the car has traveled 20 miles in 30 minutes?
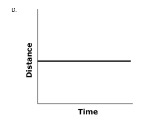
Describe the motion of the object in this graph.

What is the object is not in motion?
The graph below tracks the motion of an object.
Describe what is happening with the object's motion between seconds 7 and 8.

What is the object is not in motion?

Ryan spends is day riding his bicycle around the city. The graph below shows his motion during the day.
Which is true about Ryan's speed between 4 to 6 hours?
a) his speed was faster than it was between hours 0 to 2
b) his speed was the same as it was between hours 0 to 2
c) his speed was slower that it was between hours 3 to 4
d) his speed was the same as it was between hours 3 to 4

What is a) his speed was faster than it was between hours 0 and 2?

What information is needed to calculate speed?
What is distance and time?
Allison roller skated around her neighborhood. The graph shows her position over time.
Which statement best describes her motion?
a) Allison traveled faster between hours 3-4 than between hours 0-1.
b) Allison traveled faster between hours 0-1 than between hours 3-4.
c) Allison traveled father between hours 1-2 than between hours 2-3.
d) Allison traveled father between hours 0-1 than between hours 2-3.

What is A) Allison traveled faster between 3-4 than between hours 0-1?

Describe the motion of this object.

What is the object is accelerating speed?
Jane made this graph of the distance her family traveled on a trip.
How far did they travel the first two hours of the trip?

What is 100 km?

The graph below shows a helicopter's change in position over a ten minutes of time.
During what time period did the helicopter's position change the least?
a) 1-2 minutes
b) 3-4 minutes
c) 5-6 minutes
d) 7-8 minutes

What is B) 3-4 minutes?

Xf-Xi
What is displacement
The position of the soccer ball over time is recorded in the graph below.
Which best describes the movement of the soccer ball?
a) The ball traveled 20 meters and was kicked to the right.
b) The ball traveled 20 meters and returned to the starting point.
c) The ball traveled 30 meters, stopped, and returned to the starting point.
d) The ball traveled 50 meters, stopped, and returned to the starting point.

What is C) The ball traveled 30 meters, stopped, and returned to the starting point?

Describe the motion of the object in this graph.

What is the object travels away from the starting point, stops, and then returns to the starting position?
The graph below shows two delivery trucks traveling on the same highway.
What describes the speed of the two trucks?

What is truck A is traveling at a faster speed than truck B?
Below is a graph displaying the speed of a car. Which best describes the time the driver applied the brakes to the car?

What is 20 seconds?

By definition this word means the rate at which an object's velocity changes
What is acceleration
Carlos and Andrew decided to race each other home from school. The graph below shows the motion of the boys during the race. Which best describes the race?
a) both boys reached the finish line at the same time
b) Andrew won the race because he reached the finish line in a shorter amount of time
c) Carlos won the race because he reached the finish line in a shorter amount of time
d) Andrew won the race because he reached the finish line in a longer amount of time

What is C) Carlos won the race?
What is needed to describe the motion of an object?
What is the distance and the time?
This graph represents two cars that were in a race. After one hour, how much faster was car A traveling than car B?

What is 20 miles an hour faster?

The graph below represents a traveling car.
If the car continues to move at a constant speed, what can be predicted of the distance of the car after it has traveled two hours?

What is 120 miles?
